代表機構上的電動機選用示例
?滾珠螺桿機構 (AC小型電動機、步進電動機、伺服電動機的選用) |
?滑輪機構 (AC小型電動機、超低速同步電動機、無刷電動機) |
?分度盤機構(步進電動機)
|
?卷取機構(力矩電動機)
|
|
滾珠螺桿機構(AC小型電動機、步進電動機、伺服電動機的選用) |

(1)驅動機構部的規格及運行條件
以下為在采用滾珠螺桿的工作臺的上下驅動上使用帶電磁制動電動機時的選用例。須按下述要求規格來選用電動機。
(2)確定減速機的減速比

帶電磁制動電動機(4極型)在60Hz下額定轉速為1450∼1550[ r/min],請在此范圍內選擇減速機的減速比。

據此,選擇減速比為i=9。
(3)必要轉矩TM[N·m]的計算

考慮安全系數Sf=2

以之前的計算結果(減速比i=9、負載轉矩TL=0.86[N·m])為條件,選擇滿足減速機容許轉矩的減速機及帶電磁制動電動機。
在此參考電動機規格表,暫時選用電動機4RK25GN-AW2MJ,減速機4GN9KF。
將其負載轉矩換算為電動機輸出軸的數值,求得必要轉矩T'M。

之前選定的4RK25GN-AW2MJ的起動轉矩為140[mN·m],滿足必要轉矩118[mN·m],因此該機構可以起動。
另外,確認停止時是否可通過電磁制動保持重力負載。在此,假定是以與先前求得的負載轉矩相等的負載進行運轉。
電動機輸出軸保持負載的必要轉矩

之前選定的4RK25GN-AW2MJ的電磁制動部分的靜摩擦轉矩為100[mN·m],滿足保持負載的必要轉矩95.6[mN·m]。
(4)轉動慣量J[kg·m2]的確認

求出減速機輸出軸的轉動慣量J。

此處減速比為9的減速機4GN9KF的容許轉動慣量JG,請參照以下計算式。

因J<JG,即轉動慣量為容許值以下,故可以使用。轉矩尚有余量,可通過空載時的轉速(約1750r min)確認移動速度。

以上確認結果均能滿足規格要求。
因此,選用電動機4RK25GN-AW2MJ,減速機4GN9KF。

(1)驅動機構部的規格及運行條件

(2)必要分辨率θS 的計算

可使用αSTEPAZ系列。
可更改、設定分辨率。出廠時的分辨率0.36°/脈沖更改為0.72°/脈沖。
(3)運行模式的制定(點此參考計算式)
①工作脈沖數A[脈沖]的計算
加減速時間以定位時間的25%為適。

③運行脈沖頻率f2[Hz]的計算

④運行速度NM[r/min]的計算

(4)必要轉矩TM[N·m]的計算(點此參考計算式)
①負載轉矩TL[N·m]的計算

②加速轉矩Ta[N·m]的計算
②-1 轉動慣量JL[kg·m2]的計算(點此參考計算式)

②-2加速轉矩Ta[N·m]的計算

通過脈沖速度計算其加速轉矩時請參照如下所示。計算結果相同。

③必要轉矩TM[N·m]的計算
安全系數設為S f =2。

(5)電動機的選用
①暫時選用電動機

(6)慣性比的確認(點此參考計算式、參考值)


(1)驅動機構部的規格及運行條件
如下圖所示,為了驅動單軸的工作臺,選用AC伺服電動機。
(2)必要分辨率 θ 的計算
根據工作臺驅動所需的分辨率計算電動機的分辨率。

NX系列的分辨率θM=0.36°/脈沖(出廠時設定)滿足此項規定。
(3)運行模式的制定
根據下面的公式計算電動機轉速NM。

速度模式由該NM和運行周期、加減速時間組成


這里假設滾珠螺桿的預負載為F0= 1/3F。


據此,選用轉速為1200[r/min]、輸出0.195[N·m]以上額定轉矩、容許轉動慣量5.56×10−4[kg·m2]以上的AC伺服電動機。
? NX620AA-◇
額定轉速N = 3000[r/min]
額定轉矩TM=0.637[N·m]
轉子轉動慣量J0 = 0.162 × 10−4[kg·m2]
容許轉動慣量J = 8.1 × 10−4[kg·m2]
瞬時最大轉矩TMAX = 1.91[N·m]
滿足需求。


該必要轉矩小于NX620AA-◇的瞬時最大轉矩1.91[N·m],因此,可使用NX620AA-◇。


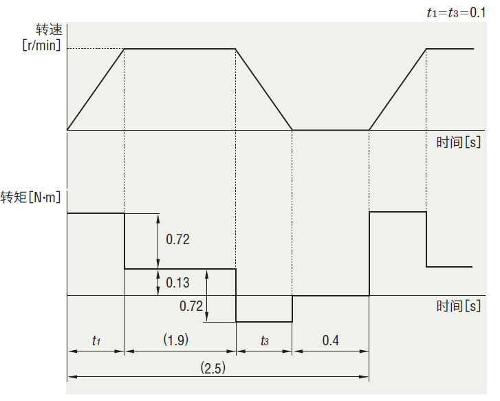
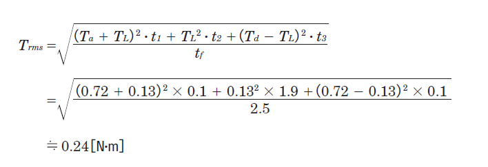
這里,根據運行周期,t1+t2+t3=2.1[ s ]、加速間· 減速時間t1=t3=0.1,因此,t2=2.1−0.1×2=1.9[s] 該Trms與AC伺服電動機的額定轉矩TM之比(有效負載安全系數)使用下面的公式。

此有效負載安全系數一般在1.5∼2以上即可運行。

速度模式由該NM和運行周期、加減速時間組成

(4)負載轉矩TL[N·m]的計算

這里假設滾珠螺桿的預負載為F0= 1/3F。
(5)轉動慣量JL[kg·m2]的計算

(6)暫時選用AC伺服電動機
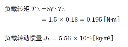
安全系數設為S f =1.5。
據此,選用轉速為1200[r/min]、輸出0.195[N·m]以上額定轉矩、容許轉動慣量5.56×10−4[kg·m2]以上的AC伺服電動機。
? NX620AA-◇
額定轉速N = 3000[r/min]
額定轉矩TM=0.637[N·m]
轉子轉動慣量J0 = 0.162 × 10−4[kg·m2]
容許轉動慣量J = 8.1 × 10−4[kg·m2]
瞬時最大轉矩TMAX = 1.91[N·m]
滿足需求。
(7)加速轉矩Ta [ N·m]、減速轉矩Td [ N·m]的計算
使用下面的公式計算加減速轉矩。
(8)必要轉矩T[N·m]的計算

該必要轉矩小于NX620AA-◇的瞬時最大轉矩1.91[N·m],因此,可使用NX620AA-◇。
(9)轉矩模式的制定
使用運行周期、加減速轉矩、負載轉矩、加速時間制定轉矩模式。
(10)有效負載轉矩Trms[N·m]的計算
利用轉矩模式和下面的公式計算有效負載轉矩Trms。
這里,根據運行周期,t1+t2+t3=2.1[ s ]、加速間· 減速時間t1=t3=0.1,因此,t2=2.1−0.1×2=1.9[s] 該Trms與AC伺服電動機的額定轉矩TM之比(有效負載安全系數)使用下面的公式。

此有效負載安全系數一般在1.5∼2以上即可運行。
注意:
本資料僅供參考。選購前請仔細確認設備需求和產品規格。
如需幫助,請洽詢本公司客戶咨詢中心(電話:400-820-6516)。